论文题目:Applying a 532-nm Laser to Reduce the Viscosity of Crude Oil
录用期刊:Energy&Fuels (2020, JCR Q2)
原文DOI:10.1021/acs.energyfuels.0c01643
作者列表:
1) 张善哲 KY开元集团官网入口(北京)信息科学与工程学院 电子信息工程系 博18级
2) 苗昕扬 KY开元集团官网入口(北京)新能源与材料学院 材料系
3) 梁华庆 KY开元集团官网入口(北京)信息科学与工程学院 电子信息工程系
4) 赵 昆 KY开元集团官网入口(北京)新能源与材料学院 材料系
原油粘度是石油生产和运输中的重要指标之一。 在本文中,我们研究了在532 nm激光照射下原油电流,温度和粘度的变化。由于多光子的吸收和级联电离,电流和温度都随着激光的开启而增加。同时,激光的辐射导致原油中化学键的断裂,从而造成原油粘度的降低。
在石油工业中,重油的粘度是石油生产和运输中的重要指标。与轻质原油不同,低分子量的碳氢化合物在重质油中所占比例不到总含量的20%~60%。在原油中,互锁的网络结构决定了油的密度和粘度,同时也影响着原油的流动性。在石油特别是重质原油的运输过程中,高粘度对石油的开发和开采提出了挑战。在过去的几十年中,激光技术以其快速、准直、无接触等优点在许多领域得到了广泛的应用。激光加热技术在数据存储中起着重要的作用,激光技术可以通过对磁盘上的信息进行读写来实现数据的记录。此外,大功率激光在石油和天然气钻井中的应用也引起了人们的极大兴趣。激光钻井或激光辅助钻井具有高穿透速度和高效射孔、侧向跟踪能力等优点。由于快速、准直、非接触的优点,激光技术也有显示了其在石油工业中的应用潜力。在这项工作中,我们使用波长为532nm的稳态激光来降低原油的粘度。当激光辐射原油表面时,粒子吸收激光的能量导致电导率和温度的升高。

图1 实验装置示意图
原油样品来自委内瑞拉。为了降低原油中的水分含量,我们术对所研究的原油进行脱水。实验过程中,样品放置在长20mm、宽10mm、高45mm的石英比色皿中。我们利用波长为532 nm的激光辐射样品,采集信号并加以分析。激光功率的调节范围是0.748 ~ 1.952 W。我们使用Keithley 2400源电表提供偏压(范围从-50到170 V)并同时记录电流。我们用两种不同电导率的材料制作的热偶温度计对原油的温度进行测量。

图2(a)在不同激光功率下,原油样品的电流随时间的变化;(b)不同偏置电压下,原油样品的电流随时间的变化;(c)在不同激光功率下测量电流时,原油温度随时间的变化;(d)在不同的偏置电压下测量电流时,原油温度随时间的变化。

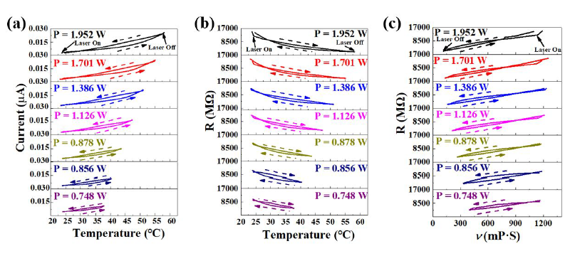
图3(a)在不同激光功率下, 电流与温度之间的关系;(b)在不同激光功率下,原油的电阻R随着温度的变化;(c)在不同激光功率下,原油的电阻R随原油粘度v的变化。

图4 原油粘度的变化量(∆v)随激光功率的变化。
由于多光子的吸收和级联电离,激光辐射液体导致液体的温度的升高。温度升高将导致离子数量的增加,从而造成原油电导率的上升。此外,重油的粘度和温度密切相关。随着温度从高到低变化,重油将从牛顿型变为非牛顿型,而油的粘度也会降低。这是因为重油中的胶体和沥青质分子的结构特征和相互作用使重油体系形成稳定的氢键。当系统获得足够的能量时,氢键将被破坏。因此,重油的粘度将大大降低
张善哲,博士,KY开元集团官网入口(北京),信息科学与工程学院控制理论与控制工程专业。研究方向:油气光学探测技术、信号检测与处理。联系方式:Email:zhangshanzhe0910@163.com
梁华庆,教授,KY开元集团官网入口(北京),信息科学与工程学院电子信息工程系,博士生导师,校级品牌课教师,中国电子教育学会信息与电子学科研究生教育委员会理事。主要研究方向:微弱信号检测与处理、测控技术与石油仪器、油田自动化。主持国家科技重大专项子课题、北京市自然基金以及油田企业的横向项目30多项,获国家发明专利授权6件,计算机软件著作权10余项,获省部级技术发明一等奖1项,部级优秀教学成果二等奖1项、三等奖1项。发表论文50余篇,其中被SCI、EI检索30余篇。联系方式:Email:hqliang@cup.edu.cn