中文题目:控压钻井井下气侵工况的自适应参数及状态估计
论文题目:Adaptive parameter and state estimation of managed pressure drilling while downhole gas kick
录用期刊/会议:控制与决策 (EI中文期刊)
原文DOI:10.13195/j.kzyjc.2022.0673
发表时间:2024-2
作者列表:
1) 徐宝昌 KY开元集团官网入口(北京)信息科学与工程学院 自动化系教师
2) 孟卓然 KY开元集团官网入口(北京)信息科学与工程学院 自动化专业 博20
3) 陈贻祺 KY开元集团官网入口(北京)信息科学与工程学院 自动化专业 博20
4) 刘 伟 中国石油集团工程技术研究院有限公司
5) 吴 楠 中国石化工程建设有限公司
摘要:
针对控压钻井过程中井下可能发生气侵的特殊工况,提出一种可在异常工况下估计井底压力,并借此判断异常工况的方法.首先,基于简化的漂移通量模型,在传统控压钻井水力学模型中添加了气体膨胀项,建立了控压钻井气液两相流模型;其次,将井下环空摩擦积分和井底气侵量视为未知参数,将井底流量视为未知状态,设计了一种可对未知参数以及未知状态进行联合估计的自适应观测器,并以此为基础估计井底压力.最后,通过仿真实验验证所提方法的有效性.仿真结果表明,所建气液两相流模型可在井下发生气侵时模拟井底压力变化,且所提观测器能实时准确地跟踪井底流量及压力变化
背景与动机:
面对气侵、漏失等井下复杂事故,控压钻井( Managed Pressure Drilling, MPD)可以有效避免事故加剧并稳定井底压力,大大提升钻进效率.但是,深部地层环境复杂、 存在众多不确定因素及干扰且监测成本高,导致井下反馈信息极为不清晰,不能及时判断异常工况.这将使得地面控制器难以及时获取所需要的参数及状态信息,严重影响了实时控制效果.因此,研究可靠的井下信息估计方法对于控制井底压力、减弱复杂事故的发生至关重要。
设计与实现:
1、气液两相流简化模型
上述漂移通量方程难以直接应用于井底压力的估计问题,需要对其进行简化.简化过程中使用的假设条件包括已有的漂移通量假设,在推导气液两相流简化模型前,还提出另外三个假设,并给出最终简化后的模型表达形式。

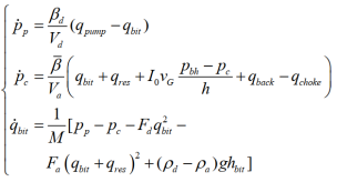
同时, 当井下发生气侵时, 井底压力的计算需加入下式:
![]()
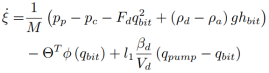
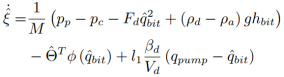
2、观测器构造
由于泥浆泵出口压力和井口回压为可测的井上压力, 而井底流量为不可测变量, 定义如下关于泥浆泵出口压力和井底流量的坐标变换:

对上式求导可得:

将上式改写为如下形式:

关于井底流量的观测器设计如下:

计算误差项整理得到关于误差项的微分方程

实验结果及分析:
针对已建立的气液两相流模型,使用自适应观测器估计井下未知参数及状态。首先假设井底已发生气侵,井下未知参数的估计结果如图1—图3所示,井底流量和压力的估计结果如图4—图5所示。



图1未知参数θ1仿真结果 图2未知参数θ2仿真结果 图3未知参数θ3仿真结果

图4气侵工况下井底流量仿真结果 图5气侵工况下井底压力仿真结果

图6单相水力学模型气侵工况下井底流量仿真结果 图7单相水力学模型气侵工况下井底压力仿真结果
仿真结果表明, 在气侵发生前, 环空中无气相存在, 文献[12]所提单相水力学模型准确刻画了井底压力与井底流量的变化趋势, 其自适应观测器能够准确地估计井底流量与压力. 但是, 当仿真进行至300s 时, 井下突然发生气侵, 环空流体从单相流转变为气液两相流, 文献[12]中提出的机理模型及观测器方法估计精度大大降低, 自适应观测器估计井底流量的平均相对误差达到了74.67%,估计井底压力的平均相对误差为1.52%。
结论:
本文首先对漂移通量模型所构建的PDE方程组进行简化, 建立了一种简化的ODE气液两相流模型。其次, 根据该两相流模型设计了一种估计精度高、可靠性强的自适应观测器, 用于同时估计井下未知参数 (环空摩擦积分) 和未知状态 (井底压力及井底流量), 并通过 Lyapunov 稳定性理论证明了观测器的收敛性。仿真结果表明, 简化的两相流模型有效平衡了计算精度与模型复杂度, 准确反映了气液存在时井下变量的动态变化。特别是在气侵发生时, 提出的自适应观测器可以实时准确地观测井底流量及压力变化, 为井下复杂事故诊断与监测方法提供了新的思路。
作者简介:
徐宝昌,教授,博士生导师,长期从事复杂系统的建模与先进控制;钻井过程自动控制技术;井下信号的测量与处理;多传感器信息融合与软测量技术等方面的研究工作。现为中国石油学会会员,中国化工学会信息技术应用专业委员会委员。曾参与多项国家级、省部级科研课题的科研工作,并在国内外核心刊物发表了论文60余篇;其中被SCI、EI、ISTP收录20余篇。